Metodología: Tension efectiva


Geo-Tec

Ayuda || GeoPilote V1.0

Metodologías > Tension efectiva > Punta

Suelos cohesivos o friccionantes


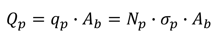
En suelos cohesivos o friccionantes, la capacidad de carga del suelo esta dada por la siguiente expresión.



Donde:

qp

Unidad de resistencia del pilote en la base

Ab

Área de la base del pilote

Np

Coeficiente de resistencia en la base del pilote (según Fellenius)

σp

Tensión efectiva debido a la sobrecarga actuando en la base del pilote


Valores de β (Fellenius, 1991)

Tipo de suelo

φef

Np

Arcilla

25 – 30

3 – 30

Limo

28 – 34

20 – 40

Arena

32 – 40

30 – 150

Gravel

35 - 45

60 - 300