Metodología: Naval Facilities (NAVFAC DESIGN MANUAL 7.2)


Geo-Tec

Ayuda || GeoPilote V1.0

Metodologías > NAVFAC DESIGN MANUAL 7.2 > Fuste

Suelos cohesivos


En suelos cohesivos, la capacidad de carga del suelo esta dada por la siguiente expresión.

Donde:

αi Coeficiente de fricción interna del suelo en la capa i
Cu,i Cohesión no drenada del suelo en el estrato i
As Área lateral de la pila en contacto con el suelo correspondiente al estrato i

Los coeficientes α recomendados por NAVFAC 7.2 son:

Material de pilote

Consistencia del suelo

Rango de cohesión

cu [kN/m2]

Coeficiente de adherencia α

Pilote de concreto o madera

Muy suave

0 - 12

0,00 - 1,00

Suave

12 - 24

1,00 - 0,96

Medio rígido

24 - 48

0,96 - 0,75

Rígido

48 - 96

0,75 - 0,48

Muy rígido

96 - 192

0,48 - 0,33

Pilotes de acero

Muy suave

0 - 12

0,00 - 1,00

Suave

12 - 24

1,00 - 0,92

Medio rígido

24 - 48

0,92 - 0,70

Rígido

48 - 96

0,70 - 0,36

Muy rígido

96 - 192

0,36 - 0,19


*GeoPilote puede sugerir el coeficiente de adherencia α en base aun a interpolación lineal

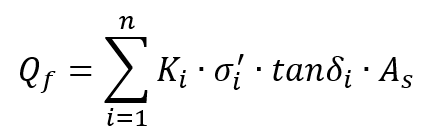
Suelos friccionantes


En suelos friccionantes, la capacidad de carga del suelo esta dada por la siguiente expresión.

Donde:

Ki Coeficiente de presión horizontal del estrato i
σ'i Esfuerzo efectivo vertical i
δi Angulo de fricción entre suelo y pilote en el estrato i
As Área lateral de la pila en contacto con el suelo correspondiente al estrato i

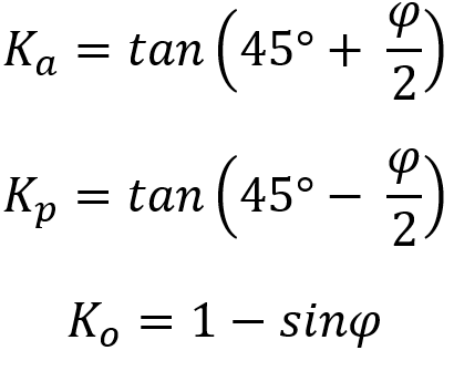
El coeficiente de empuje horizontal K será el correspondiente al promedio de los tres coeficientes de empuje que podrán existir, activo, pasivo y restante Ka, Kp,Ko :

Los coeficientes K recomendados por NAVFAC 7.2 son:

Tipo de pilotes

K para pilotes a compresión

K para pilotes a tensión

H-pilotes impulsado

0,5 - 1,0

0,3 - 0,5

Desplazamiento de pilote impulsado (redondo y cuadrado)

1,0 - 1,5

0,6 - 1,0

Desplazamiento de pilote

cónico

1,5 - 2,0

1,0 - 1,3

Pilotes de impulsado a chorro

0,4 - 0,9

0,3 - 0,6

Pilote perforado (menor a 70 cm)

0,7

0,4


El angulo de fricción Suelo-Pilote δ se puede establecer con la siguiente tabla

Material del pilote

δ [°]

Pilotes de acero

20

Piotes de madera

0,75φ

Pilotes de concreto

0,75φ